DQN高级技巧
DQN和TD Learning回顾
DQN
- 之前我们学过
Q
?
(
s
,
a
)
Q^*(s,a)
Q?(s,a)函数,它叫做动作价值函数,它依赖于当前的状态s和动作a,它基于当前状态s给所有的动作a打分,分数反映了动作a的好坏,Agent应该执行分数最高的动作,DQN的意思是使用神经网络来近似
Q
?
Q^*
Q?函数,神经网络的参数记作:w。DQN的意思是用神经网络来近似
Q
?
Q^*
Q?函数,训练好DQN之后,使用DQN来控制Agent。DQN的输入是状态s,将s输入DQN。如下图将超级玛丽画面放入DQN中,DQN中有卷积层和全连接层,DQN的输出是所有动作的分数,如果有三种可能的动作,DQN的输出就是三维向量。

TD算法
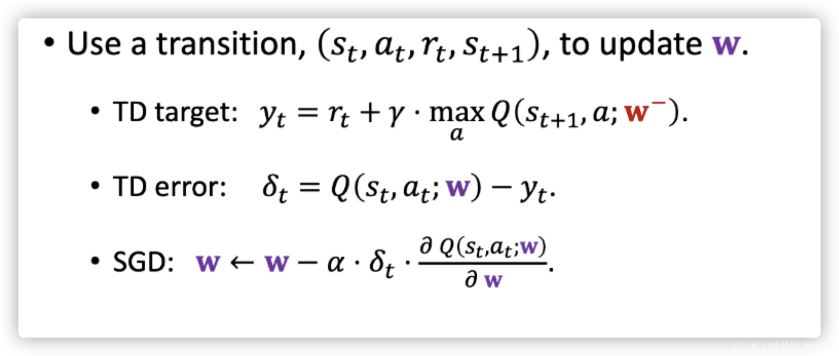
- 通常使用TD算法来训练DQN,下面我们来回顾一下TD算法:
- Agent观测到当前的状态
s
t
s_t
st?,并且执行动作
a
t
a_t
at?
- 环境给出新的状态
s
t
+
1
s_{t+1}
st+1?和奖励
r
t
r_t
rt?
- 将TD target记作
y
t
=
r
t
+
γ
?
m
a
x
a
Q
(
s
+
t
+
1
,
a
;
w
)
y_t=r_t + \gamma \cdot \underset{a}{max}Q(s+{t+1},a;w)
yt?=rt?+γ?amax?Q(s+t+1,a;w).
y
t
y_t
yt?部分基于真实的奖励
r
t
r_t
rt?,部分基于DQN在t+1时刻做出的预测
- 把DQN在t时刻做出的预测记作:
q
t
=
Q
(
s
t
,
a
t
;
w
)
q_t=Q(s_t,a_t;w)
qt?=Q(st?,at?;w),则
q
t
?
y
t
q_t-y_t
qt??yt?称为TD error,叫做
δ
t
\delta_t
δt?,DQN的
q
t
q_t
qt?完全是凭空猜测的,没有实际观测,而TD target
y
t
y_t
yt?,部分基于自己的观测,部分基于预测,所以我们认为
y
t
y_t
yt?比
q
t
q_t
qt?更靠谱。我们希望
q
t
q_t
qt?能接近
y
t
y_t
yt?也就是TD error尽量小。

- TD算法的目标就是让我们在上面得到的
δ
t
\delta _t
δt?尽量小,所以要最小化
δ
t
2
\delta _t^2
δt2?,将所有
δ
t
2
\delta _t^2
δt2?记为L(w),w是DQN的参数,它影响
q
t
q_t
qt?从而影响
δ
t
\delta _t
δt?. 我们想要找到w使得L(w)尽量小。前面我们使用在线梯度下降来更新w
- 在时刻t,观测到
(
s
t
,
a
t
,
r
t
,
s
t
+
1
)
(s_t,a_t,r_t,s_{t+1})
(st?,at?,rt?,st+1?)这个4元组,用它们计算出TD error,
- 将
δ
2
/
2
\delta ^2/2
δ2/2关于w求梯度,得到
g
t
=
?
δ
t
2
/
2
?
w
=
δ
t
?
?
Q
(
s
t
,
a
t
;
w
)
?
w
g_t = \frac{\partial \delta _t^2/2}{\partial w}=\delta _t \cdot \frac{\partial Q(s_t,a_t;w)}{\partial w}
gt?=?w?δt2?/2?=δt???w?Q(st?,at?;w)?,
g
t
g_t
gt?表示梯度
- 然后使用梯度下降来更新梯度,
w
←
w
?
α
?
g
t
w\leftarrow w - \alpha \cdot g_t
w←w?α?gt?
- 上面我们得到的四元组相当于一条数据,上面我们使用它更新了w之后,将四元组给丢掉。

经验回放(Experience Replay)
Shortcoming 1:Waste of Experience
- 上面介绍的TD算法的一个缺点就是:浪费经验
- 我们将上面使用的4元组称为一个transition,经验指的是从开始到结束所有的transitions,刚刚的TD算法在使用完一个transition之后就丢弃了,这就会造成浪费,然而事实上经验是可以被重复利用的。这就是做经验回放的主要原因。

Shortcoming 2: Correlated Updates
- 刚刚的原始的TD算法还有一个缺点,就是transition之间的相关性,之前我们按照顺序来使用每一条transition来更新w,第t条transition包括
(
s
t
,
a
t
,
r
t
,
s
t
+
1
)
(s_t,a_t,r_t,s_{t+1})
(st?,at?,rt?,st+1?),前后两条transition之间有很强的相关性,实验证明这种相关性是有害的。

Experience Replay
- 使用经验回放可以有效的克服刚刚提到的两个缺点,既可以重复利用经验避免浪费,也可以将transition打散,避免相关性。
- 上面我们提到一个transition包括:
(
s
t
,
a
t
,
r
t
,
s
t
+
1
)
(s_t,a_t,r_t,s_{t+1})
(st?,at?,rt?,st+1?),也是一条训练数据
- 将最新的transitions存到一个队列里,这个队列称为Replay Buffer,容量是n


- 做Experience Replay有两个好处
- 打破了transition序列的相关性
- 能重复利用过去的经验

Prioritized Experience Replay(经验回放的一种改进)

- 抽样的时候是非均匀的,不同的transition有不同的抽样概率,这样会导致DQN的预测有偏差。应该相应调整学习率,抵消掉不同抽样概率造成的偏差。
- TD算法使用SGD来更新参数w,我们将学习率记为:
α
\alpha
α,如果做均匀抽样所有的transition都应该有相同的学习率,如果做非均匀抽样,应该根据抽样概率来调整学习率。如果一个transition有较大的抽样概率,应该把它的学习率调的比较小。计算
(
n
p
t
)
?
β
(np_t)^{-\beta}
(npt?)?β,将它乘到学习率上,这里的
β
∈
(
0
,
1
)
\beta \in (0,1)
β∈(0,1),均匀抽样是一个种特殊情况,抽样概率都为
1
n
\frac{1}{n}
n1?,这样
n
p
t
=
1
np_t=1
npt?=1,不会影响学习率。如果是非均匀抽样,学习率会有所不同,对于较大的
p
t
p_t
pt?算出的值越小,会让学习率变小。这里的
β
\beta
β是一个超参数。论文中建议将
β
\beta
β从小到大。

- 为了做优先经验回放,要将每一条transition都计算TD error,如果一个transition还刚被收集到,还没有得到它的TD error,我们直接将它的权重设置为最大值,也就是它有最高的优先级。训练DQN的时候要对TD error做更新,每次我们使用一条transition的时候,我们需要重新计算它的TD error,这条transition就有了新的权重。

Summary

DQN的高估问题
- Target Network & Double DQN
Bootstapping
- 字面意思是:拔自己的鞋带,把自己举起来。也就是自举。听起来很荒谬。在统计和机器学习中非常的常用。在RL中bootstapping的意思是:用一个估算去估计同类的估算。也就是自己把自己给举起来。上面我们提高了使用一个transition来更新DQN的参数w。首先计算TD target记为:
y
t
y_t
yt?,它部分基于观测到的奖励
r
t
r_t
rt?,部分基于DQN在t+1时刻的估计,我们希望DQN在t时刻的估计接近
y
t
y_t
yt?,两者的差就是TD error,希望TD error尽量小,所以采用SGD来更新参数w。在计算TD target的时候,我们既用到了真实值,也用到了DQN在t+1时刻的估计值,我们使用SGD去更新DQN的参数的时候用到了
y
t
y_t
yt?,这说明为了更新DQN在t时刻的估计,我们使用DQN在t+1时刻的估计,这就是用一个估计值去更新另一个估计值,相当于Bootstapping。

Problen of Oversestimation
- 使用TD算法更新DQN,会使DQN高估动作的价值。前面提到的Target Network和Double DQN就是为了解决这个问题。
- 高估的原因:
- 原因1:之前计算TD target使用了最大化,这会导致高估。这个最大化会导致值大于真实的动作价值
- 原因2:Bootstrapping。用自己的估计去更新自己,如果当前DQN已经高估,下一步的DQN将更加高估,一步一步使得高估更加严重。

-
最大化造成高估的原因
- 设
x
1
,
x
2
,
x
3
,
?
?
,
x
n
x_1,x_2,x_3,\cdots,x_n
x1?,x2?,x3?,?,xn?是观测到的实数
- 往
x
1
,
x
2
,
x
3
,
?
?
,
x
n
x_1,x_2,x_3,\cdots,x_n
x1?,x2?,x3?,?,xn?中添加均值为0的随机噪声,将获得的结果记为:
Q
1
,
Q
2
,
.
.
.
,
Q
n
Q_1,Q_2,...,Q_n
Q1?,Q2?,...,Qn?
- 由于噪声的均值为0,这样噪声就不会影响Q的均值,对Q的均值求期望结果就是x的均值
- 但是噪声会让最大值增长,对Q的最大值求期望结果一定大于x的最大值
- 同样,随机噪声会让最小值变得更小,这样对Q的最小值求期望结果一定小于x的最小值

-
回到DQN的高估问题上来,设
x
(
a
t
)
,
.
.
.
,
x
(
a
n
)
x(a_t),...,x(a_n)
x(at?),...,x(an?)是真实的动作价值。
a
1
,
.
.
.
,
a
n
a_1,...,a_n
a1?,...,an?是动作空间中的所有的动作,我们不知道真实的动作价值,所以我们会使用DQN来估算这些价值,将DQN的估计值记为:
Q
(
s
,
a
1
;
w
)
,
.
.
.
,
Q
(
s
,
a
n
;
w
)
Q(s,a_1;w),...,Q(s,a_n;w)
Q(s,a1?;w),...,Q(s,an?;w),估计肯定有误差。我们不妨假设DQN对真实值的误差的估计是无偏的,这样误差就相当于均值为0的噪声。计算TD target的时候,要对DQN的结果求最大化,把结果记为
q
t
q_t
qt?,之前我们知道往结果里面加上噪声,会使得期望高于真实值的期望。所以q是对x(a)的高估。 -
 -
我们将DQN在t+1时刻的估计记为:
q
t
+
1
q_{t+1}
qt+1?,我们刚刚得出结论,
q
t
+
1
q_{t+1}
qt+1?是对真实值的高估。TD target部分依赖于
q
t
+
1
q_{t+1}
qt+1?,所以TD target也是高估。TD算法鼓励DQN接近于TD target,既然TD target是高估,那么更新之后的DQN也是高估。 -
 -
Bootstrapping
- TD target用到了DQN在t+1时刻的估计值
q
t
+
1
q_{t+1}
qt+1?,我们拿TD target来更新DQN在t时刻的估计,这就是用DQN来更新DQN自己。这就是Bootstrapping,这会使高估变得更严重。假设DQN已经高估了动作价值,计算TD target的时候用到了DQN自己,注意这个DQN的输出已经大于真实价值了,然后最大化,上面我们也提到了最大化会高估动作价值,这里进一步高估动作价值,然后用
q
t
+
1
q_{t+1}
qt+1?来更新DQN,这样高估又被传播会DQN,使得高估变得更加严重。

Why does overestimation happen?

Why is overestimation a shortcoming?
- DQN的输入是当前的状态
s
t
s_t
st?,输出是执行所有动作的概率,最后会选择概率最高的动作执行。所以高估本身并不是问题,只要所有价值都被同等的高估。麻烦的事非均匀的高估,
 - 实际上,DQN的高估是非均匀的,有的被高估很多,有的被高估一点。原因:TD算法每次从Replay Buffer中取出一个transition去更新DQN参数w,前面我们知道,TD target是对真实的动作价值的高估,TD算法鼓励DQN的预测接近TD target,就会将DQN的估计值推高。状态s和动作a的二元组,每被用来更新DQN,就会让DQN高估s和a的价值,s和a在Replay Buffer中的频率是不均匀的,s和a在replay buffer中越频繁出现,就会让DQN对s和a的高估越严重。结论就是s和a在DQN中的高估是非均匀的,所以我们希望能避免高估。

Solution
- 解决方案一:避免Bootstapping,不要使用DQN自己来计算TD target,使用另一个神经网络来计算TD targert,另一个神经网络也被称为target network
- 解决方案二:Double DQN,用来缓解最大化造成的高估。它也使用target network,但是具体用法有一些区别,这个区别可以大幅度改善效果
Target Network
- DQN是使用一个神经网络来近似动作价值函数,现在我们使用两个神经网络。第二个神经网络我们称为:Target Network. 两个神经网络的结构相同但是参数不同。将DQN的参数记作:w,将target network的参数记作:
w
?
w^-
w?,两个神经网络的用途不同,DQN用来控制Agent和收集经验(很多条transitions)。Target Network唯一的用途就是计算TD target。以前是自举,现在使用Target Network在一定程度上缓解了自举的问题。

TD Learning with Target Network
- 我们每次用一个transition来更新DQN的参数w,使用Target Network来计算TD target,这样可以避免Bootstapping,然后计算TD error,它是DQN的预测与TD target两者之差。最后使用SGD来更新DQN的参数w。注意这里SGD只更新DQN的参数,不更新Target network
 - Target Network的参数是
w
?
w^-
w?,要隔一段时间更新一次
- 方式一:直接将DQN的w结果给
w
?
w^-
w?
- 方式二:将DQN的参数w和
w
?
w^-
w?做一个加权的平均,然后赋值给
w
?
w^-
w?

- 使用target network与原来的DQN唯一的区别就是计算TD target。原始的方法使用DQN自己去计算TD target现在使用Target Network去计算TD target

Double DQN
- Double DQN可以更好的缓解高估的问题。
- 原始的DQN计算TD target,可以分为两步:第一步是找出能最大化Q函数的动作。第二步是使用上一步选出的动作带入DQN去,这两步都使用DQN这样表现很差,会严重高估动作的价值。
 - 上面我们介绍的使用TD NetWork来计算TD target。和原始的一样,第一步是选出最大化Q函数的动作,这里使用的是target network。第二步是将上一步得到的动作带入,这里用的还是Target Network。上面原始方法两步都是用的DQN,这里两步都是用的Target Network,使用Target Network会让表现变得更好,但是高估还是很严重。

- 下面我们介绍一种计算TD target的方式Double DQN。首先做选择,选出最大化Q函数的动作,这一步使用的是DQN。第二步是计算TD target要把上一步找到的动作带入Q函数,这里用的是Target Network。

- Why does double DQN work better?
- Double DQN将计算TD target分解为两步
- 第一步:选择动作
a
?
a^*
a?,用的是DQN本身
- 第二步:计算TD target,用的是Target Network
- 很容易证明下面的公式。

Summary
  
Dueling Network
Advantage Function
回顾
- 前面我们定义了折扣回报,它是从t时刻开始左右奖励的加权和,它依赖与未来的所有动作以及状态。我们还定义了动作价值函数为折扣回报的期望,他将未来的动作和状态的随机性都消除了。它依赖于当前的状态
s
t
s_t
st?、做出的动作
a
t
a_t
at?以及策略函数
π
\pi
π,在这一步我们使用期望将状态的随机性消除,我们定义了状态价值函数
V
π
V_{\pi}
Vπ?,它是动作价值函数对动作求期望。这样状态价值函数就只依赖于当前的状态
s
t
s_t
st?以及策略函数
π
\pi
π

- 我们定义最优的动作价值函数为上面提到的
Q
π
(
s
t
,
a
t
)
Q_{\pi}(s_t,a_t)
Qπ?(st?,at?)对策略函数
π
\pi
π求最大化,它可以评价在状态s的情况下,做动作a的好坏。定义最优的状态价值函数为上面的到的
V
π
(
s
)
V_{\pi}(s)
Vπ?(s)对
π
\pi
π求最大化,它可以告诉我们当前状态的好坏。这样我们就可以定义最优的优势函数
A
?
(
s
,
a
)
=
Q
?
(
s
,
a
)
?
V
?
(
s
)
A^{*}(s,a)=Q^{*}(s,a)-V^{*}(s)
A?(s,a)=Q?(s,a)?V?(s),它的意思就是将
V
?
(
s
)
V^{*}(s)
V?(s)作为baseline,这样
A
?
A^{*}
A?就表示动作a相对于baseline的优势,动作a相对于baseline效果越好,
A
?
A^{*}
A?的值就越大。

Properties of Advantage Function
- 定理1:最优动作价值函数
Q
?
(
s
,
a
)
Q^{*}(s,a)
Q?(s,a)关于动作a的最大值等于最优状态价值函数
V
?
(
s
)
V^{*}(s)
V?(s)
- 回顾我们上面的到的
A
?
(
s
,
a
)
=
Q
?
(
s
,
a
)
?
V
?
(
s
)
A^{*}(s,a)=Q^{*}(s,a)-V^{*}(s)
A?(s,a)=Q?(s,a)?V?(s),同时对等式两边求最大化等式也成立,这样我们就可以得到
m
a
x
a
A
?
(
s
,
a
)
=
m
a
x
a
Q
?
(
s
,
a
)
?
V
?
(
s
)
\underset{a}{max}A^{*}(s,a)=\underset{a}{max}Q^{*}(s,a)-V^{*}(s)
amax?A?(s,a)=amax?Q?(s,a)?V?(s),上面定理1保证了
m
a
x
a
Q
?
(
s
,
a
)
=
V
?
(
s
)
\underset{a}{max}Q^{*}(s,a)=V^{*}(s)
amax?Q?(s,a)=V?(s),这样等式右边为0,故优势函数
A
?
(
s
,
a
)
A^{*}(s,a)
A?(s,a)关于动作a的最大值为0.
 - 将上面最优优势函数的定义转换一下就可以得到
Q
?
(
s
,
a
)
=
V
?
(
s
)
+
A
?
(
s
,
a
)
?
m
a
x
a
A
?
(
s
,
a
)
Q^{*}(s,a)=V^{*}(s)+A^{*}(s,a)-\underset{a}{max}A^{*}(s,a)
Q?(s,a)=V?(s)+A?(s,a)?amax?A?(s,a),前面我们得到
m
a
x
a
A
?
(
s
,
a
)
=
0
\underset{a}{max}A^{*}(s,a)=0
amax?A?(s,a)=0,所以我们不妨在等式右边减去一个
m
a
x
a
A
?
(
s
,
a
)
\underset{a}{max}A^{*}(s,a)
amax?A?(s,a),

Dueling Network
Revisiting DQN
- DQN是神经网络对最优动作价值函数的近似

Approximating Advantage Function
- 我们通过神经网络
A
?
(
s
,
a
;
w
A
)
A^{*}(s,a;w^{A})
A?(s,a;wA)来近似
A
?
(
s
,
a
)
A^{*}(s,a)
A?(s,a),这里
w
A
w^A
wA是神经网络的参数,神经网络的结构和DQN是一样的。

Approximating State-Value Function
- 这里我们还需要一个神经网络来近似最优状态价值函数
V
?
(
s
)
V^{*}(s)
V?(s),这个神经网络的输入是状态s,这里输出是神经网络给状态s的打分。这里我们发现这个神经网络和上面的神经网络有相同的结构,真正实现的时候可以共享两个神经网络的参数。

Dueling Network:Formulation
- Theorem 2:
Q
?
(
s
,
a
)
=
V
?
(
s
)
+
A
?
(
s
,
a
)
?
m
a
x
a
A
?
(
s
,
a
)
Q^{*}(s,a)=V^{*}(s)+A^{*}(s,a)-\underset{a}{max}A^{*}(s,a)
Q?(s,a)=V?(s)+A?(s,a)?amax?A?(s,a)
- 上面我们使用了两个神经网络分别近似了状态价值函数和优势函数,替换定理二中的来几个函数,可以得到
Q
(
s
,
a
;
w
A
,
w
V
)
Q(s,a;w^A,w^V)
Q(s,a;wA,wV),它被称为Dueling Network。既然它是对动作价值函数的近似,那么它就和DQN有相同的作用,DQN有啥它就有啥,DQN怎么训练它就怎么训练。为了表示方便,后面使用w来表示它的参数。

Dueling Network
-
上面我们得到了Dueling Network的近似,它和DQN都是对动作价值函数的近似,所以它和DQN有相同的性质。 -
搭建Dueling Network:输入是状态s,使用一些卷积层来处理输入状态s,神经网络V和A共享卷积层参数。用一些全连接层得到的特征做变换得到一个输出向量,这个输出向量的元素对应优势函数给每个动作打的分数。使用一些全连接层将一个向量映射到一个实数,这个实数就是状态价值,表示当前状态的好坏。这样我们就得到了一个向量和一个实数,接下来我们使用这个实数和这个向量的每个元素分别相加,减去红色向量中的最大的元素,然后我们又可以得到一个向量,这个向量的大小和之前我们得到的向量是一样的,这个向量就是Dueling Network的最终的输出。输出的每一个元素对应了每个动作的价值,可以反映出动作的好坏。做决策的时候选出动作价值最大的动作,Agent执行这个动作。Dueling netwoek的输入和输出和DQN完全一样,功能也完全一样。

Training
- Dueling Network和DQN的输入和输出一样。
- 既然这里Dueling Network是对最优动作价值函数的近似,我们可以用Q-learning来训练Dueling Network,我们可以使用训练DQN的方式来训练Dueling Network。

Overcome Non-identifiability
- 看一下上面的两个等式,两个等式都是对的,我们证明过
m
a
x
a
(
s
,
a
)
\underset{a}{max}(s,a)
amax?(s,a)恒等于0,那么我们干嘛要用等式2呢?原因是因为等式1有一个缺点,我们无法通过
Q
?
Q^{*}
Q?来唯一确定
V
?
V^{*}
V?和
A
?
A^{*}
A?。举例如下。这种不唯一性有什么危害呢?在上面Dueling Network的输出是通过
V
?
+
A
?
V^*+A^*
V?+A?的到的,如果这两个值的波动绝对值相等,方向相反,那么毫无差别。但是两个神经网络都不稳定,这样的话就有危害了。这样加上对优势函数求最大化就可以更加稳定。但是实际操作中换成mean更加稳定,没有理论依据,就是实验效果好。

Summary

|