|
目录
一、决策树的概念
二、熵和信息增益
三、ID3算法
1、算法简介
2、数据收集
数据加载
计算给定数据的香农熵
根据某一特征划分数据集
选择最佳属性划分数据集
创建并递归遍历该棵树
存储树并且加载
添加主函数运行代码
运行结果
总结:?
C4.5算法
信息增益率
C4.5算法优点
C4.5算法实现
基尼指数
基尼指数定义:
基尼指数实例
基尼指数的代码实现
四、总结
?1、决策树优点:
2、决策树缺点:
一、决策树的概念
顾名思义,决策树就是一棵树,一颗决策树包含一个根节点、若干个内部结点和若干个叶结点;叶结点对应于决策结果,其他每个结点则对应于一个属性测试;每个结点包含的样本集合根据属性测试的结果被划分到子结点中;根结点包含样本全集,从根结点到每个叶子结点的路径对应了一个判定测试序列。举个例子,如下图所示:

二、熵和信息增益
?决策树学习的关键在于如何选择最优的划分属性,所谓的最优划分属性,对于二元分类而言,就是尽量使划分的样本属于同一类别,即“纯度”最高的属性。那么如何来度量特征(features)的纯度,这时候就要用到“信息熵(information entropy)”。先来看看信息熵的定义:假如当前样本集D中第k类样本所占的比例为, 为类别的总数(对于二元分类来说,)。则样本集的信息熵为:
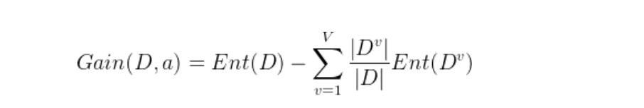
 Ent(D)的值越小,则D的纯度越高。(这个公式也决定了信息增益的一个缺点:即信息增益对可取值数目多的特征有偏好(即该属性能取得值越多,信息增益,越偏向这个),因为特征可取的值越多,会导致“纯度”越大,即ent(D)会很小,如果一个特征的离散个数与样本数相等,那么Ent(D)值会为0)。再来看一个概念信息增益(information gain),假定离散属性 ?有 个可能的取值,如果使用特征 ?来对数据集D进行划分,则会产生V个分支结点, 其中第v(小v)个结点包含了数据集D中所有在特征 ?上取值为 的样本总数,记为。因此可以根据上面信息熵的公式计算出信息熵,再考虑到不同的分支结点所包含的样本数量不同,给分支节点赋予权重,即样本数越多的分支节点的影响越大,因此,能够计算出特征 ?对样本集D进行划分所获得的“信息增益”:
?
? ? ? ?一般而言,信息增益越大,则表示使用特征 ?对数据集划分所获得的“纯度提升”越大。所以信息增益可以用于决策树划分属性的选择,其实就是选择信息增益最大的属性,ID3算法就是采用的信息增益来划分属性。 ?
三、ID3算法
1、算法简介
ID3算法(Iterative Dichotomiser 3)是一种基于信息熵的决策树分类学习算法,以信息增益和信息熵作为对象分类的衡量标准,该算法的核心是在决策树各级节点上选择属性时,用信息增益作为属性的选择标准,使得在每一个非节点进行测试时,能获得关于被测试记录最大的类别信息。
2、数据收集
本次实验所采用的数据来自UCI数据集,数据集题目为群众对汽车各种因素的接受情况。如图:

其中,前五列为标签分别为:buying,maint,doors,persons,lug_boot,safty,最后一个为决策结果,unacc表示无法接受,acc表示接受,good表示?很好,vgood表示非常好
数据加载
def loadData(dataseturl):
dataset = []
with open(dataseturl) as f:
dataall = f.readlines()
for data in dataall:
dataline = data.strip().split(',')
dataset.append(dataline)
#六个属性
labels=['buying','maint','doors','persons','lug_boot','safty']
return dataset,labels
计算给定数据的香农熵
def calShannonEnt(dataset):
numEntries = len(dataset)
labelCounts={}
for data in dataset:
#提取标签信息
classlabel = data[-1]
if(classlabel not in labelCounts.keys()):
labelCounts[classlabel]=0
labelCounts[classlabel]+=1
shannonEnt=0.0
for key in labelCounts:
p = float(labelCounts[key])/numEntries
shannonEnt-= p*np.log2(p)
return shannonEnt
根据某一特征划分数据集
def splitDataset(dataset,axis,value):#axis 属性的位置 value 返回数据属性值为value
retDataSet = []
for featVec in dataset:
if featVec[axis]==value:
reducedFeatVec = featVec[:axis]
reducedFeatVec.extend(featVec[axis+1:])
retDataSet.append(reducedFeatVec)
return retDataSet
选择最佳属性划分数据集
def chooseBestFeatureToSplit(dataset):
numFeatures = len(dataset[0])-1 #计算特征数
baseEntropy = calShannonEnt(dataset)#计算信息熵
bestFeature = -1
bestInfoGain = 0
for i in range(numFeatures): #不断循环属性
featList = [example[i] for example in dataset] #获取数据集的第i个特征
uniqueVals = set(featList) #属性i的属性值有哪些
newEntropy = 0.0
for value in uniqueVals:#
subDataSet = splitDataset(dataset,i,value) #按照属性i和属性i的值value进行数据划分
prob = len(subDataSet)/float(len(dataset))
newEntropy +=prob*calShannonEnt(subDataSet) #计算划分过数据集的信息熵
infoGain = baseEntropy-newEntropy #计算信息增益,也就是信息熵的变换量
print("第%d个特征的信息增益为:%.3f" % (i, infoGain))
if(infoGain>bestInfoGain):
bestInfoGain = infoGain
bestFeature=i
return bestFeature
若所有属性使用完毕后,类标签还无法统一,使用投票的方式进行统一
def majorityCnt(classList):
classCount={ }
for vote in classList:
if vote not in classCount.keys():
classCount[vote]=0
else:
classCount[vote]+=1
sortedClassCount = sorted(classCount.items(),key=operator.itemgetter(1),reverse=True)
return sortedClassCount[0][0]
创建并递归遍历该棵树
def createTree(dataset,labels):#数据集和标签列表
classList =[example[-1] for example in dataset]#数据所属类得值
if classList.count(classList[0])==len(classList):#条件1:classList只剩下一种值
return classList[0]
if len(dataset[0])==1:#条件2:数据dataset中属性已使用完毕,但没有分配完毕
return majorityCnt(classList)#取数量多的作为分类
bestFeat = chooseBestFeatureToSplit(dataset)#选择最好的分类点,即香农熵值最小的
labels2 = labels.copy()#复制一分labels值,防止原数据被修改。
bestFeatLabel = labels2[bestFeat]
myTree = {bestFeatLabel:{}}#选取获取的最好的属性作为
del(labels2[bestFeat])#这里写博客的时候,需要说一下关于list值得变化
featValues = [example[bestFeat] for example in dataset]#获取该属性下的几类值
uniqueVals = set(featValues)
for value in uniqueVals:
subLabels = labels2[:]#剩余属性列表
myTree[bestFeatLabel][value] = createTree(splitDataset(dataset,bestFeat,value),subLabels)
return myTree
# 进行分类---通过递归方式对这颗树进行遍历
def classify(inputTree, featLabels, testVec):
firstStr = list(inputTree.keys())[0]
secondDic = inputTree[firstStr] # 获取最外层字典里的值
featIndex = featLabels.index(firstStr) # 获取最外层属性值在属性列表中的位置
try:
for key in secondDic.keys():
if testVec[featIndex] == key:
if isinstance(secondDic[key], dict):
classLabel = classify(secondDic[key], featLabels, testVec)
else:
classLabel = secondDic[key]
return classLabel
except:
secondDic[key]
存储树并且加载
#存储树(以二进制序列化进行存储)
def storeTree(inputTree,filename):
fw = open(filename,'wb')
pickle.dump(inputTree,fw)
fw.close()
#加载存储的树 以二进制返回加载的序列化值
def grabTree(filename):
fr = open(filename,'rb')
return pickle.load(fr)
添加主函数运行代码
if __name__ == '__main__':
dataSet, labels = loadData('cardata.txt')
print("数据集信息熵:"+str(calShannonEnt(dataSet)))
print("最优索引值:"+str(chooseBestFeatureToSplit(dataSet)))
mytree = createTree(dataSet,labels)
filename = 'testdata.txt'
storeTree(mytree,filename)
tree = grabTree(filename)
print("加载出来的tree:",tree)
print("输出mytree的key:",list(mytree.keys())[0])
treePlotter.createPlot(mytree)
运行结果

?
使用测试集数据测试训练模型
if __name__ == '__main__':
dataSet, labels = loadData('carData.txt')
# print("数据集信息熵:"+str(calShannonEnt(dataSet)))
# print("最优划分属性索引值:"+str(chooseBestFeatureToSplit(dataSet)))
mytree = createTree(dataSet, labels)
testDataset = loadtestData("testData.txt")
count=0
for dataset in testDataset:
result = classify(mytree,labels,dataset[:6])
print("测试结果为:{},标准结果为:{}".format(result,dataset[6]))
if(result==dataset[6]):
count+=1
print("正确率:%f"%(count/84))

总结:?
ID3优点:理论清晰,方法简单,学习能力较强
? ? 缺点:(1) 信息增益的计算比较依赖于特征数目比较多的特征 ????(2) ID3为非递增算法 ????(3) ID3为单变量决策树 ????(4) 抗糙性差?
C4.5算法
信息增益率
ID3算法中的信息增益准则对取值数目较多的属性有所偏好,例如西瓜数据集中,如果把“编号”也作为候选划分属性,它的信息增益为0.998,但是如果用“编号”作为划分属性显然是不合理的。为了减少这种偏好可能带来的不利影响,C4.5决策树算法中使用增益率(gain ratio)来选择最优划分属性。

IV(a)称为属性a的固有值,属性a的可能取值数目越多,则IV(a)的值通常会越大。因此,增益率准则对可取值数目较少的属性有所偏好,因此,C4.5算法并不是直接选择增益率最大的候选划分属性,而是先从候选划分属性中找出信息增益高于平均水平的属性,再从中选择增益率最高的。
C4.5算法优点
C4.5算法较之ID3算法主要有4点改进:
- 采用信息增益率作为最优划分属性。
- 能够处理连续值类型的属性。
- 能够处理缺失值属性。
- 增加了剪枝处理,从而避免过拟合。
C4.5算法实现
更改ID3的局部函数,将
for value in uniqueVals:
#按照属性i和属性i的值value进行数据划分
subDataSet = splitDataset(dataset,i,value)
prob = len(subDataSet)/float(len(dataset))
newEntropy +=prob*calShannonEnt(subDataSet) #计算划分过数据集的信息熵
infoGain = baseEntropy-newEntropy #计算信息增益,也就是信息熵的变换量
改为
for value in uniqueVals:
#按照属性i和属性i的值value进行数据划分
subDataSet = splitDataset(dataset,i,value)
prob = len(subDataSet)/float(len(dataset))
newEntropy +=prob*calShannonEnt(subDataSet) #计算划分过数据集的信息熵
splitInfo -= prob*np.log2(prob)
infoGain = (baseEntropy-newEntropy)/splitInfo #求出第i列属性的信息增益率


由运行结果准确率可以看出,C4.5算法划分策略比ID3更好。
基尼指数
基尼指数定义:

基尼指数实例

基尼指数的代码实现
# 计算某一维度相对于标签的基尼指数
def Gini(self, y):
size = len(y) # 数据集大小
gini_total = 0
classes_idx_num = dict(Counter(y)) # 统计每类标签下包含的数据个数
# 计算基尼系数:
for key in classes_idx_num.keys():
# 计算第key个标签的基尼系数分量
prob = classes_idx_num[key] / size # 用出现频率表示概率
gini_total += prob * prob
return 1 - gini_total
'''划分选择:使用基尼系数'''
# X: 输入数据, size=(batches, features)
# y: 类别标签, size=(batches,)
# dim: 当前是第几维度
# num_D: 数据总数
def GiniIdx(self, X, y, num_D, dim):
a = X[:, dim] # 获取数据第dim维度
v = set(a) # 获取数据第dim维度可能的取值
gini_a = 0
# 计算数据第dim维度的信息增益:
for i in v:
# 第dim维度第i个取值出现的频率
prob_a_v = np.sum(a==i)/num_D
gini_a_v = self.Gini(y[np.where(a==i)])
gini_a += prob_a_v * gini_a_v
return gini_a
四、总结
?1、决策树优点:
- 便于理解和解释。树的结构可视化
- 能够处理数值型数据和分类数据,其他的技术通常只能用来专门分析某一种的变量类型的数据集
- 能够处理多路输出问题
- 可以通过数值统计测试来验证该模型。这对解释验证该模型的可靠性成为可能
2、决策树缺点:
- 决策树模型容易产生一个过于复杂的模型,这样的模型对数据的泛化性能会很差
- 决策树可能是不稳定的,因为在数据中的微小变化可能会导致完全不同的树生成
- 如果某些类在问题中占主导地位会使得创始的决策树有偏差,因此建议在拟合前先对数据集进行平衡。
|