算法集锦(NO.3)
链表
加快进度
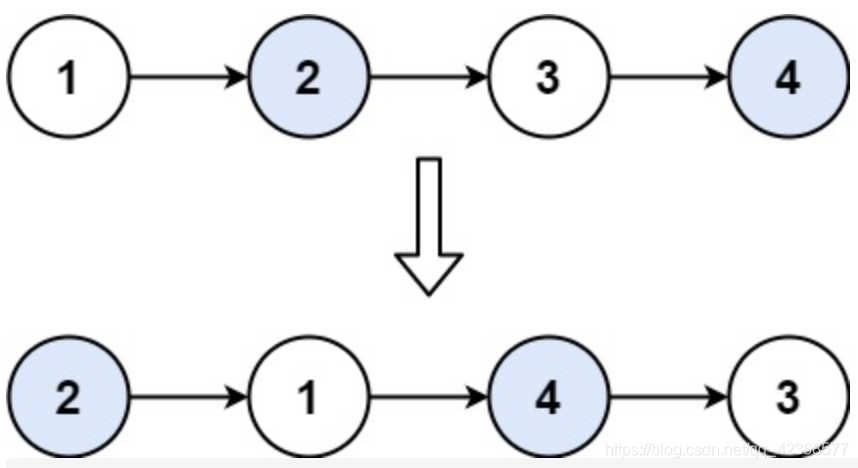
两两交换链表中的节点 给定一个链表,两两交换其中相邻的节点,并返回交换后的链表。
你不能只是单纯的改变节点内部的值,而是需要实际的进行节点交换。
示例 1:  输入:head = [1,2,3,4] 输出:[2,1,4,3] 示例 2:
输入:head = [] 输出:[] 示例 3:
输入:head = [1] 输出:[1]
提示:
链表中节点的数目在范围 [0, 100] 内 0 <= Node.val <= 100
进阶:你能在不修改链表节点值的情况下解决这个问题吗?(也就是说,仅修改节点本身。)
方法一: 递归:既然是节点之间的两两互换,可用递归至底层进行合并。
class Solution {
public ListNode swapPairs(ListNode head) {
if (head == null || head.next == null) {
return head;
}
ListNode newHead = head.next;
head.next = swapPairs(newHead.next);
newHead.next = head;
return newHead;
}
}
 时间复杂度O(n) 空间复杂度O(n)
方法二: 迭代:该思想为直接在链表上进行互换操作。大致思想为,temp为前置节点,node1为1节点,node2为2节点,让前置节点的指针指向node2, node1的指针指向node2后的链表,node2的指针指向node1。然后前置节点更新为node1。
class Solution {
public ListNode swapPairs(ListNode head) {
ListNode dummyHead = new ListNode(0);
dummyHead.next = head;
ListNode temp = dummyHead;
while (temp.next != null && temp.next.next != null) {
ListNode node1 = temp.next;
ListNode node2 = temp.next.next;
temp.next = node2;
node1.next = node2.next;
node2.next = node1;
temp = node1;
}
return dummyHead.next;
}
}
 
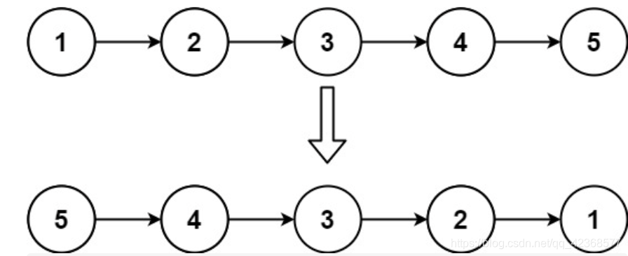
K 个一组翻转链表 给你一个链表,每 k 个节点一组进行翻转,请你返回翻转后的链表。
k 是一个正整数,它的值小于或等于链表的长度。
如果节点总数不是 k 的整数倍,那么请将最后剩余的节点保持原有顺序。
进阶:
你可以设计一个只使用常数额外空间的算法来解决此问题吗? 你不能只是单纯的改变节点内部的值,而是需要实际进行节点交换。
示例 1: 
输入:head = [1,2,3,4,5], k = 2 输出:[2,1,4,3,5] 示例 2:

输入:head = [1,2,3,4,5], k = 3 输出:[3,2,1,4,5] 示例 3:
输入:head = [1,2,3,4,5], k = 1 输出:[1,2,3,4,5] 示例 4:
输入:head = [1], k = 1 输出:[1] 提示:
列表中节点的数量在范围 sz 内 1 <= sz <= 5000 0 <= Node.val <= 1000 1 <= k <= sz
此题相较于上题为
class Solution {
public ListNode reverseKGroup(ListNode head, int k) {
if(head==null||k<2){
return head;
}
ListNode node =new ListNode(0,head);
ListNode temp =node;
ListNode tempNext =node;
int n=0;
while(temp.next!=null){
while(n<k&&tempNext.next!=null){
tempNext = tempNext.next;
n++;
}
if(n<k){
break;
}
temp.next = reverseList(temp.next,k);
while(n>0){
temp = temp.next;
n--;
}
}
return node.next;
}
public ListNode reverseList(ListNode node,int k){
ListNode nodeNew = new ListNode(0);
ListNode temp = nodeNew;
int n=0;
while(n<k){
if(n==0){
temp.next=new ListNode(node.val);
node=node.next;
n++;
}else{
ListNode tempNext = temp.next;
temp.next = new ListNode(node.val);
node =node.next;
temp.next.next = tempNext;
n++;
}
}
while(temp.next!=null){
temp=temp.next;
}
temp.next=node;
return nodeNew.next;
}
}
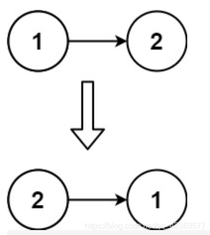
  反转链表 给你单链表的头节点 head ,请你反转链表,并返回反转后的链表。
示例 1:

输入:head = [1,2,3,4,5] 输出:[5,4,3,2,1]
示例 2:  输入:head = [1,2] 输出:[2,1]
示例 3: 输入:head = [] 输出:[]
提示: 链表中节点的数目范围是 [0, 5000] -5000 <= Node.val <= 5000
进阶:链表可以选用迭代或递归方式完成反转。你能否用两种方法解决这道题?
方法1: 迭代: 用一个辅助空链表来存放链表当前节点,并且链表指针后移。每次辅助链表进行存放时,都用链表节点来指向辅助链表,通过辅助链表头指针的更新操作来实现迭代节点的保存。
class Solution {
public ListNode reverseList(ListNode head) {
ListNode prev = null;
ListNode curr = head;
while (curr != null) {
ListNode next = curr.next;
curr.next = prev;
prev = curr;
curr = next;
}
return prev;
}
}
  方法二: 递归
class Solution {
public ListNode reverseList(ListNode head) {
if (head == null || head.next == null) {
return head;
}
ListNode newHead = reverseList(head.next);
head.next.next = head;
head.next = null;
return newHead;
}
}
  删除排序链表中的重复元素 存在一个按升序排列的链表,给你这个链表的头节点 head ,请你删除所有重复的元素,使每个元素 只出现一次 。
返回同样按升序排列的结果链表。
示例 1:
 输入:head = [1,1,2] 输出:[1,2] 示例 2:  输入:head = [1,1,2,3,3] 输出:[1,2,3]
提示:
链表中节点数目在范围 [0, 300] 内 -100 <= Node.val <= 100 题目数据保证链表已经按升序排列
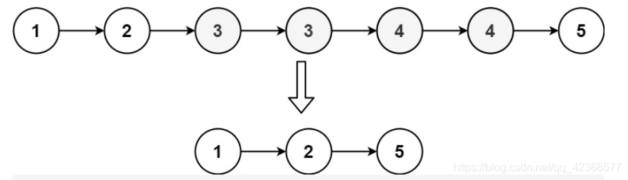
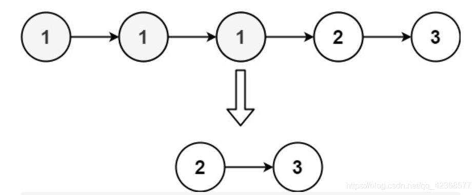
删除排序链表中的重复元素 II 存在一个按升序排列的链表,给你这个链表的头节点 head ,请你删除链表中所有存在数字重复情况的节点,只保留原始链表中 没有重复出现 的数字。 返回同样按升序排列的结果链表。
示例 1: 
输入:head = [1,2,3,3,4,4,5] 输出:[1,2,5] 示例 2: 
输入:head = [1,1,1,2,3] 输出:[2,3] 提示:
链表中节点数目在范围 [0, 300] 内 -100 <= Node.val <= 100 题目数据保证链表已经按升序排列
方法:可视有3个节点,分别为当前节点,当前节点的前置节点,当前节点的后置节点。当当前节点不为空,并且,其不等于前置节点和后置节点时,进行节点后移,否则进行该节点的删除。
class Solution {
public ListNode deleteDuplicates(ListNode head) {
if (head == null) {
return head;
}
ListNode dummy = new ListNode(0, head);
ListNode cur = dummy;
while (cur.next != null && cur.next.next != null) {
if (cur.next.val == cur.next.next.val) {
int x = cur.next.val;
while (cur.next != null && cur.next.val == x) {
cur.next = cur.next.next;
}
} else {
cur = cur.next;
}
}
return dummy.next;
}
}
 时间复杂度O(n),空间复杂度O(1)
|