待解决问题 : 如何初始化,编写完整程序,即直接写调用的接口
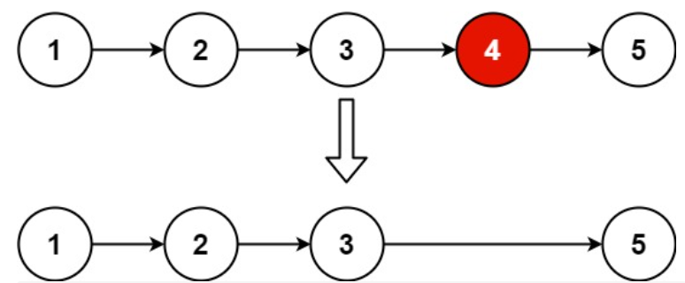
示例 1: 
输入:head = [1,2,3,4,5], n = 2
输出:[1,2,3,5]
示例 2:
输入:head = [1], n = 1
输出:[]
示例 3:
输入:head = [1,2], n = 1
输出:[1]
题解
实现思路
- 解法一:遍历两次,第二次遍历
L-N+1 ,为与题目n 保持一致,本题 n 从1 开始,为统一删除操作,因为第一个节点没前驱节点,故设置 哑节点。 - 解法二:利用栈(先进后出)解决倒叙输出问题
- 解法三:双指针(快慢指针),快指针先走 n 个节点,当快指针到尾null 时,输出的慢指针所指即为所求。
代码实现
public ListNode removeNthFromEnd(ListNode head, int n) {
ListNode dummy = new ListNode(0, head);
int length = getLength(head);
ListNode cur = dummy;
for (int i = 1; i < length - n + 1; ++i) {
cur = cur.next;
}
cur.next = cur.next.next;
ListNode ans = dummy.next;
return ans;
}
public int getLength(ListNode head) {
int length = 0;
while (head != null) {
++length;
head = head.next;
}
return length;
}
栈的实现关注下
public ListNode removeNthFromEnd(ListNode head, int n) {
ListNode dummy = new ListNode(0, head);
Deque<ListNode> stack = new LinkedList<ListNode>();
ListNode cur = dummy;
while (cur != null) {
stack.push(cur);
cur = cur.next;
}
for (int i = 0; i < n; ++i) {
stack.pop();
}
ListNode prev = stack.peek();
prev.next = prev.next.next;
ListNode ans = dummy.next;
return ans;
}
ListNode* removeNthFromEnd(ListNode* head, int n) {
ListNode* dummy = new ListNode(0, head);
ListNode* first = head;
ListNode* second = dummy;
for (int i = 0; i < n; ++i) {
first = first->next;
}
while (first) {
first = first->next;
second = second->next;
}
second->next = second->next->next;
ListNode* ans = dummy->next;
delete dummy;
return ans;
}
|