1、单值二叉树
OJ链接:[https://leetcode-cn.com/problems/univalued-binary-tree/] 题目:如果二叉树每个节点都具有相同的值,那么该二叉树就是单值二叉树。 只有给定的树是单值二叉树时,才返回 true;否则返回 false。  代码:
思路:判断一下结点的值,有不相同的就不是,根节点根左子树右子树的值都是单值进行判断
bool isUnivalTree(struct TreeNode* root)
{
if(root == NULL)
return true;
bool left_res = (root->left==NULL || (root->left->val==root->val && isUnivalTree(root->left)));
bool right_res = (root->right==NULL || (root->right->val==root->val && isUnivalTree(root->right)));
return left_res && right_res;
}
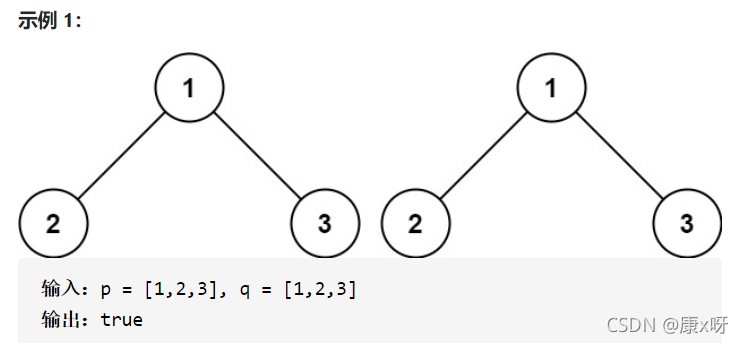
2、检查两颗树是否相同
OJ链接:[https://leetcode-cn.com/problems/same-tree/] 题目:给你两棵二叉树的根节点 p 和 q ,编写一个函数来检验这两棵树是否相同。 如果两个树在结构上相同,并且节点具有相同的值,则认为它们是相同的。  代码:
思路:注意判断p,q都是空的时候
bool isSameTree(struct TreeNode* p, struct TreeNode* q)
{
if(p==NULL && q==NULL)
return true;
if(p==NULL || q==NULL)
return false;
return p->val==q->val && isSameTree(p->left, q->left) && isSameTree(p->right, q->right);
}
3、对称二叉树
OJ链接:[https://leetcode-cn.com/problems/symmetric-tree/] 题目:给定一个二叉树,检查它是否是镜像对称的。 例如,二叉树 [1,2,2,3,4,4,3] 是对称的。  代码:
思路:利用递归的方式,自己先写一个函数实现,实现方式于上题类似。
bool _isSymmetric(struct TreeNode* t1, struct TreeNode* t2)
{
if(t1==NULL && t2==NULL)
return true;
if(t1==NULL || t2==NULL)
return false;
return (t1->val==t2->val && _isSymmetric(t1->left, t2->right) && _isSymmetric(t1->right, t2->left));
}
bool isSymmetric(struct TreeNode* root)
{
if(root == NULL)
return true;
return _isSymmetric(root->left, root->right);
}
4、二叉树的前序遍历
OJ链接:[https://leetcode-cn.com/problems/binary-tree-preorder-traversal/] 题目:给你二叉树的根节点 root ,返回它节点值的 前序 遍历。  代码:
思路:先求节点长度,然后开辟数组空间,编写内部方法进行递归遍历。
size_t Size(struct TreeNode *root)
{
if(root == NULL)
return 0;
return Size(root->left) + Size(root->right) + 1;
}
void _preorderTraversal(struct TreeNode*root, int *preorder_array, int *i)
{
if(root != NULL)
{
preorder_array[*i] = root->val;
(*i)++;
_preorderTraversal(root->left, preorder_array, i);
_preorderTraversal(root->right, preorder_array, i);
}
}
int* preorderTraversal(struct TreeNode* root, int* returnSize)
{
int n = Size(root);
int *preorder_array = (int*)malloc(sizeof(int) * n);
*returnSize = n;
int index = 0;
_preorderTraversal(root, preorder_array, &index);
return preorder_array;
}
5、二叉树中序遍历
OJ链接:[https://leetcode-cn.com/problems/binary-tree-inorder-traversal/] 题目:给定一个二叉树的根节点 root ,返回它的中序遍历。  代码:
思路:与上题一致,只需变换遍历的顺序
size_t Size(struct TreeNode *root)
{
if(root == NULL)
return 0;
return Size(root->left) + Size(root->right) + 1;
}
void _inorderTraversal(struct TreeNode*root, int *inorder_array, int *i)
{
if(root != NULL)
{
_inorderTraversal(root->left, inorder_array, i);
inorder_array[*i] = root->val;
(*i)++;
_inorderTraversal(root->right, inorder_array, i);
}
}
int* inorderTraversal(struct TreeNode* root, int* returnSize)
{
int n = Size(root);
int *inorder_array = (int*)malloc(sizeof(int) * n);
*returnSize = n;
int index = 0;
_inorderTraversal(root, inorder_array, &index);
return inorder_array;
}
6、二叉树的后序遍历
OJ链接: [https://leetcode-cn.com/problems/binary-tree-postorder-traversal/] 题目:给定一个二叉树,返回它的后序遍历。  代码:
思路:与上题一致,只需变换遍历的顺序
int size(struct TreeNode *t)
{
if(t == NULL)
return 0;
else
return size(t->left) + size(t->right) + 1;
}
void _postorderTraversal(struct TreeNode *root, int *postorder_array, int *i)
{
if(root != NULL)
{
_postorderTraversal(root->left, postorder_array, i);
_postorderTraversal(root->right, postorder_array, i);
postorder_array[*i] = root->val;
(*i)++;
}
}
int* postorderTraversal(struct TreeNode* root, int* returnSize)
{
int n = size(root);
int *postorder_array = (int*)malloc(sizeof(int) * n);
*returnSize = n;
int index = 0;
_postorderTraversal(root, postorder_array, &index);
return postorder_array;
}
7、另一颗树的子树
OJ链接:[https://leetcode-cn.com/problems/subtree-of-another-tree/] 题目:给你两棵二叉树 root 和 subRoot 。检验 root 中是否包含和 subRoot 具有相同结构和节点值的子树。如果存在,返回 true ;否则,返回 false 。二叉树 tree 的一棵子树包括 tree 的某个节点和这个节点的所有后代节点。tree 也可以看做它自身的一棵子树。  代码:
思路:注意(二叉树 tree 的一棵子树包括 tree 的某个节点和这个节点的所有后代节点),进行内部递归调用。
bool _isSubtree(struct TreeNode *root, struct TreeNode *subRoot)
{
if(root==NULL && subRoot==NULL)
return true;
if(root==NULL || subRoot==NULL)
return false;
return root->val==subRoot->val && _isSubtree(root->left, subRoot->left) && _isSubtree(root->right, subRoot->right);
}
bool isSubtree(struct TreeNode* root, struct TreeNode* subRoot)
{
if(subRoot == NULL)
return true;
if(root == NULL)
return false;
if(_isSubtree(root, subRoot))
return true;
return isSubtree(root->left, subRoot) || isSubtree(root->right, subRoot);
}
|