|
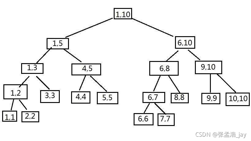
线段树是一个区间二叉树,用来处理区间和、区间最大值、区间最小值等区间问题。

线段树的节点存储着对应的区间信息、以及维护的最大值或者是最小值信息。
线段树是一个完全二叉树,用一个数组来存储,根节点的下标为1,左子节点为2* i,右子节点为2*i+1。
对应的区间信息其实不用存储,都是在代码中维护的,因为每次都是将一个区间按照mid来分为[l,mid]和[mid+1,r]两个左右子区间。
线段树针对的是区间的动态更新和查找,修改和查找的时间复杂度都是log(n)。
因为普通的前缀和的查找时间虽然是O(1),但是更改却是O(n)。
线段树中可以通过惰性更新来增加性能。当更新的时候只更新父节点,只有子节点在被更新或者访问的时候,才会将对应的父节点下推,也就是pushDown,将之前的更新下推到子节点。
下面是一个求区间最大值的线段树模板:
class SegmentTree{
int n;
int[] tree;
int[] lazy;
int[] arr;
public SegmentTree(int n,int[] arr){
tree = new int[4 * n];
lazy = new int[4 * n];
this.n = n;
this.arr = arr;
}
//根据一个arr来初始化线段树
public void build(int l,int r,int id){
if(l == r){
tree[id] = arr[l];
return;
}
int mid = (l + r)/2;
build(l,mid,id<<1);
build(mid+1,r,(id<<1)+1);
//根据子节点来更新父节点
pushUp(id);
}
//根据子节点来更新父节点
public void pushUp(int id){
tree[id] = Math.max(tree[id<<1],tree[(id<<1) +1]);
}
//惰性更新,当要访问父节点的子节点的时候,需要将之前的更新下推给子节点
public void pushDown(int id){
tree[id<<1] = Math.max(tree[id<<1],lazy[id]);
tree[(id<<1)+1] = Math.max(tree[(id<<1)+1],lazy[id]);
lazy[id<<1] = Math.max(lazy[id<<1],lazy[id]);
lazy[id<<1|1] = Math.max(lazy[(id<<1)+1],lazy[id]);
lazy[id] = 0;
}
//区间更新
public void update(int l,int r,int x,int y,int val,int id){
if(x <= l && r <= y){
tree[id] = Math.max(tree[id],val);
lazy[id] = Math.max(lazy[id],val);
return;
}
int mid = (l + r)/2;
pushDown(id);
if(x <= mid){
update(l,mid,x,y,val,id<<1);
}
if(y >= mid + 1){
update(mid+1,r,x,y,val,(id<<1)+1);
}
pushUp(id);
}
//区间查询
public int query(int l,int r,int x,int y,int id){
if(x <= l && r <= y){
return tree[id];
}
int mid = (l + r) / 2;
int ans = 0;
pushDown(id);
if(x <= mid){
ans = Math.max(ans,query(l,mid,x,y,id<<1));
}
if(y >= mid + 1){
ans = Math.max(ans,query(mid+1,r,x,y,(id<<1)+1));
}
return ans;
}
}
|