线性规划
线性规划的目的
确定多变量线性函数在变量满足线性约束条件下的最优值 线性规划模型需要确定的三个要素
- 决策变量
- 目标函数:决策者希望对其优化的指标,是决策变量的线性函数
- 约束条件:决策变量取值的限制范围
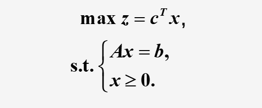
线性规划的一般模型

线性规划模型最优解的情况
- 有唯一最优解
- 有无穷多个最优解
- 无可行解
- 有可行解但目标函数非空
线性规划的python 求解
运用scipy.optimize模块中的linprog函数求解
-
将线性规划问题化为scipy中线性规划模型的标准型 注意标准型中都是最小值,若原来要求最大值也需要将表达式取反求最小   -
实例  
- python zip函数
zip函数将可迭代的对象作为参数,将对象中对应的元素打包成一个个元组 
灵敏度分析
在上述线性规划求解问题中我们假设
a
i
j
a_{ij}
aij?,
b
i
b_i
bi?,
c
j
c_j
cj?是常数,是固定不变的,但是在实际问题中,由于生产工艺的变化,这些参数往往是预测值或估计值,经常会有少许的变化,由此我们可以考虑由于参数变化导致的现行最优解的变化,讨论将这些参数的变化限制在什么范围内,原最优解仍然是最优的。
整数规划
在实际问题中,决策变量代表产品的件数,箱数,人员的个数等整数量时,变量只有取整数才有意义,因此有必要在规划模型中增加这些决策变量为整数的限制
标准指派问题的模型及求解
 
装箱问题
 
非线性规划问题
非线性规划问题与线性规划问题的区别在于,非线性规划可能的目标函数和约束条件可能不都是线性的 非线性规划问题可以有约束条件也可以没有约束条件,非线性规划的一般模型描述如下 
- 用scipy.optimize模块的minimize函数求解

|